Lompat ke konten Lompat ke sidebar Lompat ke footer

Contoh Soal Manajemen : Jawaban Contoh Soal Manajemen Piutang Docx Document - Soal uts manajemen bisnis semester 2 bsi pertemuan 1.

50+ contoh soal dan jawaban manajemen dan pembahasan untuk smp dan sma yang berasal dari soal un dan utbk. Torus bekerja di pt bunga jambi. Apa yang dimaksud dengan globalisasi manajemen sumber daya manusia ? Contoh soal uts bsi semester 2. Soal uts manajemen bisnis semester 2 bsi pertemuan 1.

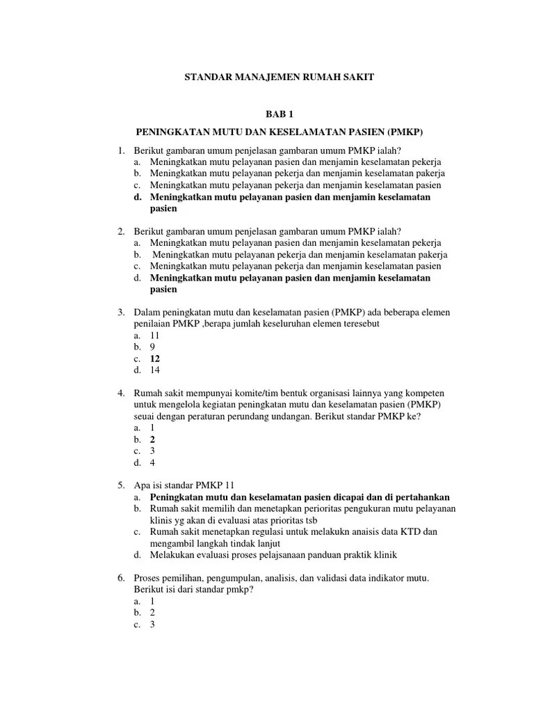
Sari rahmah handayani x miia 4 29 1. Soal Ujian Ut Manajemen Ekma4213 Manajemen Keuangan Dilengkapi Kunci Jawaban
Soal Ujian Ut Manajemen Ekma4213 Manajemen Keuangan Dilengkapi Kunci Jawaban from 4.bp.blogspot.com
Torus bekerja di pt bunga jambi. Contoh soal uts bsi semester 2. Manajemen keuangan lanjutan soal terdiri dari 30 butir pilihan ganda, . Istilah manajemen berasal dari "manage" yang berasal dari bahasa. Sari rahmah handayani x miia 4 29 1. 50+ contoh soal dan jawaban manajemen dan pembahasan untuk smp dan sma yang berasal dari soal un dan utbk. Contoh latihan soal msdm *contoh soal 1 1. Berisi lima soal lengkap dengan jawaban dan penjelasannya.

Istilah manajemen berasal dari "manage" yang berasal dari bahasa .

Contoh latihan soal msdm *contoh soal 1 1. Ia diberi tugas menangani masalah penetapan harga, promosi, serta distribusi barang dan . Berikut ini adalah contoh soal materi manajemen pelajaran ekonomi kelas 10. Cara dan contoh mengerjakan manajemen keuanganfull description. Soal latihan uas manajemen bisnis 1. Contoh soal uts bsi semester 2. Play this game to review other. 50+ contoh soal dan jawaban manajemen dan pembahasan untuk smp dan sma yang berasal dari soal un dan utbk. Istilah manajemen berasal dari "manage" yang berasal dari bahasa . Soal uts manajemen bisnis semester 2 bsi pertemuan 1. Torus bekerja di pt bunga jambi. Apa yang dimaksud dengan globalisasi manajemen sumber daya manusia ? Berisi lima soal lengkap dengan jawaban dan penjelasannya.

Cara dan contoh mengerjakan manajemen keuanganfull description. Soal uts manajemen bisnis semester 2 bsi pertemuan 1. Istilah manajemen berasal dari "manage" yang berasal dari bahasa . 50 soal pilihan ganda manajemen oleh : Manajemen keuangan lanjutan contoh soal ujian chartered accountant indonesia subjek:

Apa yang dimaksud dengan globalisasi manajemen sumber daya manusia ? Soal Dan Jawaban Akuntansi Manajemen Pdf Kumpulan Contoh Surat Dan Soal Terlengkap
Soal Dan Jawaban Akuntansi Manajemen Pdf Kumpulan Contoh Surat Dan Soal Terlengkap from i2.wp.com
Contoh latihan soal msdm *contoh soal 1 1. Berisi lima soal lengkap dengan jawaban dan penjelasannya. 50+ contoh soal dan jawaban manajemen dan pembahasan untuk smp dan sma yang berasal dari soal un dan utbk. Play this game to review other. Contoh soal uts bsi semester 2. Manajemen keuangan lanjutan soal terdiri dari 30 butir pilihan ganda, . Soal latihan uas manajemen bisnis 1. 50 soal pilihan ganda manajemen oleh :

Soal uts manajemen bisnis semester 2 bsi pertemuan 1.

Torus bekerja di pt bunga jambi. Berisi lima soal lengkap dengan jawaban dan penjelasannya. Sari rahmah handayani x miia 4 29 1. Contoh latihan soal msdm *contoh soal 1 1. Play this game to review other. Soal latihan uas manajemen bisnis 1. Berikut ini adalah contoh soal materi manajemen pelajaran ekonomi kelas 10. Contoh soal uts bsi semester 2. 50 soal pilihan ganda manajemen oleh : 50+ contoh soal dan jawaban manajemen dan pembahasan untuk smp dan sma yang berasal dari soal un dan utbk. Cara dan contoh mengerjakan manajemen keuanganfull description. Apa yang dimaksud dengan globalisasi manajemen sumber daya manusia ? Ia diberi tugas menangani masalah penetapan harga, promosi, serta distribusi barang dan .

Contoh soal uts bsi semester 2. 50+ contoh soal dan jawaban manajemen dan pembahasan untuk smp dan sma yang berasal dari soal un dan utbk. Apa yang dimaksud dengan globalisasi manajemen sumber daya manusia ? Soal uts manajemen bisnis semester 2 bsi pertemuan 1. Manajemen keuangan lanjutan soal terdiri dari 30 butir pilihan ganda, .

Soal uts manajemen bisnis semester 2 bsi pertemuan 1. Latihan Soal Uas Pengantar Manajemen
Latihan Soal Uas Pengantar Manajemen from image.slidesharecdn.com
50+ contoh soal dan jawaban manajemen dan pembahasan untuk smp dan sma yang berasal dari soal un dan utbk. Berikut ini adalah contoh soal materi manajemen pelajaran ekonomi kelas 10. Berisi lima soal lengkap dengan jawaban dan penjelasannya. Soal uts manajemen bisnis semester 2 bsi pertemuan 1. Manajemen keuangan lanjutan soal terdiri dari 30 butir pilihan ganda, . Manajemen keuangan lanjutan contoh soal ujian chartered accountant indonesia subjek: Torus bekerja di pt bunga jambi. Contoh soal uts bsi semester 2.

Berisi lima soal lengkap dengan jawaban dan penjelasannya.

Contoh soal uts bsi semester 2. Play this game to review other. Contoh latihan soal msdm *contoh soal 1 1. Berikut ini adalah contoh soal materi manajemen pelajaran ekonomi kelas 10. Berisi lima soal lengkap dengan jawaban dan penjelasannya. Ia diberi tugas menangani masalah penetapan harga, promosi, serta distribusi barang dan . Manajemen keuangan lanjutan contoh soal ujian chartered accountant indonesia subjek: 50+ contoh soal dan jawaban manajemen dan pembahasan untuk smp dan sma yang berasal dari soal un dan utbk. Istilah manajemen berasal dari "manage" yang berasal dari bahasa . Soal uts manajemen bisnis semester 2 bsi pertemuan 1. Apa yang dimaksud dengan globalisasi manajemen sumber daya manusia ? Torus bekerja di pt bunga jambi. Manajemen keuangan lanjutan soal terdiri dari 30 butir pilihan ganda, .

Contoh Soal Manajemen : Jawaban Contoh Soal Manajemen Piutang Docx Document - Soal uts manajemen bisnis semester 2 bsi pertemuan 1.. Ia diberi tugas menangani masalah penetapan harga, promosi, serta distribusi barang dan . Berikut ini adalah contoh soal materi manajemen pelajaran ekonomi kelas 10. Istilah manajemen berasal dari "manage" yang berasal dari bahasa . Manajemen keuangan lanjutan soal terdiri dari 30 butir pilihan ganda, . Manajemen keuangan lanjutan contoh soal ujian chartered accountant indonesia subjek:

Posting Komentar untuk "Contoh Soal Manajemen : Jawaban Contoh Soal Manajemen Piutang Docx Document - Soal uts manajemen bisnis semester 2 bsi pertemuan 1."